キサンタンガム
キサンタンガムは、とうもろこしや大豆を栄養分として微生物(Xanthomonas campestris)が発酵する際に産生される天然の増粘多糖類で、冷水にも温水にも溶かすことができます。溶液は静置状態で非常に高い粘性を示す一方で、撹拌や振盪などの力を加えると粘度が低下します。この性質をシュードプラスチック性と言います。
この性質によりキサンタンガムはドレッシングやソース,タレなどの増粘安定に広く利用されています。その他にも耐塩性,耐酵素性,凍結融解耐性に優れ、漬物,佃煮,塩辛などの増粘安定や冷凍食品の安定性向上など幅広い目的で多様な食品に使用されています。また近年では介護食分野での需要が伸びています。
用途
| サラダドレッシング | 増粘、乳化安定、固形物や油液の分散 |
|---|---|
| タレ、ソース、佃煮類 | 増粘、照りツヤ改善、分離防止、固形物分散、食感改良 |
| 漬物類 | 離水防止、乾燥防止、増粘 |
| 介護食、レトルト食品 | 増粘、固形物や油脂の分散 |
| アイスクリーム、ソフトクリーム | 増粘、乳化安定、離水防止 |
| 冷凍食品 | 冷凍解凍耐性の向上、増粘、離水防止 |
| インスタント食品 | 増粘 |
| スープ | 増粘、油脂の分散 |
| 飲料 | 増粘、固形物分散、濃厚感付与 |
| ゼリー | 離水防止、弾力向上 |
| ホイップクリーム | 離水防止、乾燥防止、保形性改善 |
| バタークリーム | 保水性向上、乳化安定、ヘラ切れ向上 |
| フラワーペースト | 保水性向上、ヘラ切れ向上、デンプンの老化抑制 |
| フィリング | 離水防止、ダレ防止、照りツヤ改善 |
| パン、スポンジケーキ | 老化防止、保水性向上、食感改良 |
| 化粧品、歯磨き | 増粘、保水性向上、乳化安定、固形物や油液の分散 |
応用例
サラダドレッシング
酢と油を主成分とするサラダドレッシングは、耐酸性に優れたキサンタンガムに最適な用途です。
耐酸性以外にも、ドレッシングには次のような物性が求められます。
・野菜の上から流れ落ちない適度な粘性と流動性
・長期保存のための加熱殺菌に対する耐熱性
・酢と油の懸濁状態を維持する乳化性
キサンタンガムは、こうした性質を全てカバーできる理想的な増粘安定剤であり、国内外のサラダドレッシングに幅広く利用されています。サウザンアイランドのような乳化タイプのドレッシングには、界面活性効果の高いアルギン酸エステルと併用するケースも多いです。
たれ、ソース、佃煮類
塩濃度の高いたれ、ソース類に適度な粘性を与え、濃厚感やコクを付与する増粘剤には、耐塩性に優れたキサンタンガムが最適です。キサンタンガムの粘性は長期安定であり、またデンプン類にはない耐酵素性にも優れているため、たれ、ソース類の食感を安定的に維持します。
ホイップクリーム
キサンタンガムはその高い粘性によって生クリームの乳化安定性を向上させます。これを泡立てたホイップクリームは、絞り出したときに角がしっかり立った美しい形状を長時間保つことができます。
乳化安定性に優れていることで、ホイップクリームからの離水も抑えることができます。
介護食
加齢などで噛む力・飲む力が衰えると、誤嚥性肺炎を引き起こす危険性が高まります。食べ物が限定されれば栄養バランスが偏りますし、食の楽しみが失われることはQOLの低下にもつながってしまいます。
このような咀嚼・嚥下困難者に対して、食べ物の固さを適度にコントロールし、あるいは飲み物にとろみをつけることで誤嚥を防ぐように工夫した介護食が開発されています。
介護食の加工には、当初デンプンがよく利用されてきましたが、最近ではデンプン以外の増粘剤が使われることが増えました。中でも素早く水に溶解し、温度やpHの依存性が少なく、低カロリーで味やにおいも少ないキサンタンガムは、介護食にとろみを与える素材として広く利用されています。
アイスクリーム、ソフトクリーム
アイスクリーム、シャーベットなどの氷菓に少量のキサンタンガムを配合すると、適度な濃厚感、果実感をもたらす食感改良効果を発揮します。
アイスクリームやソフトクリーム用のミックスに対しては、ミックス液の分離抑制、乳化安定,増粘安定などの効果を与えることができます。
また、アルギン酸類と組み合わせて使用すると、更に乳化安定性が上がることが知られています。
化粧品
微生物の発酵産物であるキサンタンガムは、石油系の素材よりもナチュラルで肌に優しい増粘剤と位置づけられ、自然派化粧品に欠かせない増粘剤となっています。
高濃度で膨潤したキサンタンガムはシュードプラスチック性のジェルとなりますし、低濃度で化粧品の粘度や流動性を微妙に調整することもできます。多くの化粧品にこうしたキサンタンガムの性質が利用されています。
歯磨き
歯磨きに配合された研磨剤などの成分が沈殿・分離することを防ぎ、さらに口の中で適度な粘性を与えるための粘結剤として、キサンタンガムが利用されています。
上記の応用例はキサンタンガムの一部の用途です。
上記以外の用途やキサンタンガムに関する使用方法などで課題やお困りごとなどございましたら、お気軽にお問い合わせください。
ラインナップ
粉末粒度や透明度の異なるグレードをラインナップしています。
粉末同士の混合に適した微粒子品や、手撹拌で簡単に溶解出来る造粒品、飲料や食品の外観を変えずに粘性を付与できる透明品など、使い方に合わせてお選び頂けます。
粉末品
幅広い用途に利用できる80Msタイプと粉末同士の混合に適した微粒子タイプ(200Ms)があります。
※表を左右にスワイプしてご覧ください
| グレード名 | 粘度 (1.0%水溶液, 25℃)* | 粉末形状 | 特徴 |
|---|---|---|---|
| F80 | 1,200~1,600 mPa・s | 80Ms | ドレッシング、ソース、タレなど幅広い用途で使用できます。 |
| EC | 1,200~1,800 mPa・s | 80Ms | 他の粉体とあらかじめ混ぜて利用する用途に適しています。 |
| EC-200 | 1,200~1,800 mPa・s | 200Ms |
*:粘度は1.0% KCl 水溶液へ溶解し測定しています。
造粒品
冷水,温水の両方に溶解しますが、利用方法によってはダマになる場合があります。
この問題を解決するため、分散性,溶解性を向上させた造粒グレードをご用意しています。
※表を左右にスワイプしてご覧ください
| グレード名 | 粘度 (1.0%水溶液, 25℃)* | 粉末形状 | 特徴 |
|---|---|---|---|
| PH-R3EC-T | 1,200~2,000 mPa・s | 造粒品 | 粒度が最も粗く分散が容易です。 弱い撹拌力でも溶解可能です。 |
*:粘度は1.0% KCl 水溶液へ溶解し測定しています。
透明品
透明度が必要な食品や飲料の粘度調整に便利な透明タイプです。
※表を左右にスワイプしてご覧ください
| グレード名 | 粘度 (1.0%水溶液, 25℃)* | 粉末形状 | 特徴 |
|---|---|---|---|
| CL2 | 1,200~2,000 mPa・s | 80Ms | 水溶液の透明度が高い製品です。食品や飲料の透明度を維持することができます。 |
| FT80 | 1,400 mPa・s 以上 | 80Ms | 水溶液の透明度が高い製品です。食品や飲料の透明度を維持することができます。 |
*:粘度は1.0% KCl 水溶液へ溶解し測定しています。
特徴と性質
特徴
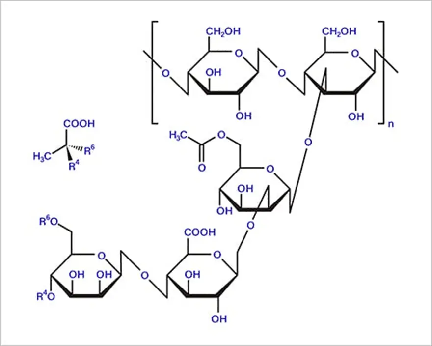
キサンタンガムは、微生物(X. campestris)の産生する細胞外多糖です。骨格はβ-(1–4)-D-グルコピラノースグルカン(セルロース)であり、側鎖が1残基おきに結合しています。側鎖はβ-(3-1)-α-結合 D-マンノピラノース-(2-1)-β-D-グルクロン酸-(4-1)-β-D-マンノピラノースからなります(図1)[1, 2]。
キサンタンガムは微生物発酵によって産生される多糖類として最初に商業化が成功した素材です。1960年代にアメリカで開発されて以来50年以上にわたってさまざまな食品に使用[3]されており、一日の許容摂取量(ADI)に上限を定める必要ないほどにその安全性は高く評価されています[4,5]。
日本では既存添加物に分類され、食品安全委員会によってその安全性は高く評価されています[6]。
粘度
低濃度でも粘性を発揮します。
低温~高温まで幅広い温度帯で安定的に粘性を発揮します。
流動性
見かけの粘度は力を加えることにより変化します。力の加わらない状態では非常に高い粘度を示しますが、撹拌や震とうなどの強い力が加わると見かけの粘度は低下します。
熱安定性
水溶液は長時間の加熱に対して安定的な粘度を示します。
耐アルカリ性、耐酸性
幅広いpHで安定した粘性を発揮します。酸性条件下で、加熱・冷蔵しても粘度はほとんど変化しません。
耐塩性
高塩濃度条件下でも粘度が低下することはありません。
経時変化
粘度約1,800 mPa・sのキサンタンガム水溶液を37℃で保存し経時的に粘度を測定しました。
粘度は非常に安定しており、水溶液状態で保存しても粘度の変化は極めて軽微です。
他の多糖類との相乗効果
他の増粘多糖類を併用することで様々な相乗効果が得られます。
グァーガムを混合して溶解した溶液の粘度はそれぞれを単独で使用した時よりも遥かに高い粘性を発揮します。ローカストビーンガムでも同様の効果を得ることが出来ます。
ローカストビーンガムを混合して加温しながら溶解した溶液を冷却することでゲル化させることができます。
参考文献
- Habibi, H., & Khosravi-Darani, K. (2017). Effective variables on production and structure of xanthan gum and its food applications: A review. Biocatalysis and Agricultural Biotechnology, 10, 130–140.
- Rosalam, S., & England, R. (2006). Review of xanthan gum production from unmodified starches by Xanthomonas comprestris sp. Enzyme and Microbial Technology, 39(2), 197–207.
- 國崎直道, 佐野征男,食品多糖類 : 乳化・増粘・ゲル化の知識,幸書房
- EFSA Panel on Food Additives and Nutrient Sources added to Food (ANS), Re-evaluation of xanthan gum (E 415) as a food additive, EFSA Journal, doi: 10.2903/j.efsa.2017.4909
- 指定添加物(規則別表一)のJECFAによる安全性評価
- 厚生労働省Webサイト,食品添加物